2023年全国硕士研究生招生考试数学(一)真题解析

2023/12/14 14:54:55 来源: 网络
分享:

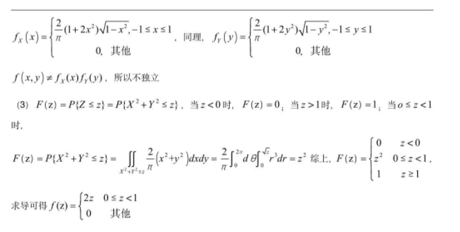
  2024考研初试还有一周时间,海天考研数学老师整理发布2023年全国硕士研究生招生考试数学(一)真题解析,历年考试真题可以更好的考查检验知识点掌握情况,考研大纲的偏题、难题也不会出现,考研冲刺最后几天大家可以对所学知识点差缺补漏。

  以上就是2023研究生考试数学一真题解析的全部内容,考研冲刺阶段的同学们可以根据自身复习情况,结合历年考研真题中的易错点去梳理答题思路,保持每天练题不生疏。

  2025考研人数达388w,考研热度依旧火热!如何备战2026考研?哪个考研专业适合自己?在职考生如何备考?考研知识点繁多,择校困难大,和海天考研咨询老师聊一聊。网课面授多项选,专业辅导1对1全年集训随时学!

中间广告图.jpg

活动专题